2024我省高考方案解读

报名结束后不可调整选考科目 等级赋分保障公平性

等级比例和赋分区间对应表

志愿结构示例

扫码看详情

生活报讯(记者吕晓艳) 29日,黑龙江省2024年普通高校招生考试安排和录取工作实施方案出台,我省对考生关注的热点问题进行解读。

为什么不能将再选科目原始成绩直接计入高考总成绩,而是要进行等级赋分后再计入高考总成绩?

答:再选科目不能直接计入高考总成绩的原因主要有三点:一是考生选考科目不同,导致各科之间选考人数不同;二是由于各学科试题难易程度存在差异,各科成绩之间不具有可比性;三是报考同一院校专业组的考生,存在再选科目的选科不同,录取时按照同一标准录取,存在不公平的情况。

例如:某院校某一个专业组再选科目的要求是不限选考科目。考生甲选考地理,考生乙选考化学,两人都考了80分,都报考了这个院校专业组,而考生甲排在所有选考地理考生的第100位,考生乙排在所有选考化学考生的第1000位。如果简单将他们各科成绩相加,计入考生总成绩进行比较,在录取时,选考化学的考生会占有一定优势,可见,这样做既不科学也不公平。

综上所述,再选科目各科的原始成绩不具有可比性,不能简单地将选考科目的原始成绩直接计入高考总成绩。而采用等级赋分的办法,既实现了不同学科之间转换后的成绩具有可比性,也有效保障了高考的科学性和公平性。

再选科目原始成绩转换等级成绩是如何进行换算的?

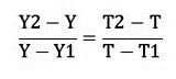
答:等级赋分前,先统计每门再选科目实际参加考试的考生人数作为转换基数。每门再选科目等级成绩以30分作为等级转换的赋分起点,满分100分。将考生每门再选科目的原始成绩从高到低划分为A、B、C、D、E共5个等级,各等级人数所占比例分别为该科目转换基数的15%、35%、35%、13%和2%。再选科目成绩计入考生总成绩时,将A至E等级内的考生原始成绩,依照等比例转换法则,分别转换到100~86、85~71、70~56、55~41和40~30五个分数区间,根据线性转换公式计算得到考生的等级成绩,一分一档,考生等级成绩排序和原始成绩排序不变。

线性转换公式

其中,Y表示原始成绩(Y1、Y2分别表示原始分区间的下限和上限);T表示转换后等级成绩(T1、T2分别表示转换分区间的下限和上限)。计算结果通过“四舍五入”取整数。

考生是否可以查询各科原始成绩?

答:高考成绩公布时,我省仅向考生公布总成绩及各科最终成绩,其中,语文、数学、外语、历史和物理5门科目为原始成绩,思想政治、地理、化学和生物学4门科目的原始成绩是成绩转换环节的过程性信息,不对考生公布,只公布等级转换后的等级成绩。

考生在高考报名结束后是否可以再申请调整选考科目?

答:考生在高考报名结束后,不得再申请调整选考科目。因此,考生报名时要慎重填报选考科目,一旦因误报造成个人利益受损,由考生本人负责。

我省采用什么方式填报高考志愿?

答:我省高考志愿填报(含征集志愿)全部实行网上填报志愿方式,不填写纸介质志愿表。考生须在规定时间内登录“黑龙江省招生考试信息港”网站填报志愿。如考生因错报、漏报等原因造成的后果,由考生本人承担。

我省高考志愿的结构是如何设置的?

答:2024年我省高考志愿设批次、院校、专业组和专业四级结构。其中,专业组是志愿填报的基本单位,一个专业组就是一个志愿。一所院校可设置一个或多个专业组,每个专业组内可包含数量不等的专业(类)。考生网上填报志愿时,首先要选择报考的招生批次,其次在批次内选择报考的院校,在选报的院校下填报符合再选科目要求及特征条件要求的专业组,最后填报所选专业组下所包含的专业(类)和是否服从专业调剂选项。即一个志愿包括批次、院校、专业组、专业和是否服从专业调剂选项等内容。

考生志愿填报时应注意哪些事项?

答:考生志愿填报时,要认真学习我省招生政策,认真阅读有关高校招生章程、各专业选科要求、报考限制条件和招生计划等。根据自己的成绩、选科情况、体检结果等,慎重填报,并对所填报志愿的真实性和准确性承担责任。

考生必须本人填报志愿,不得委托他人代报,且不得放弃本人所报志愿。因考生本人疏漏或失误造成的后果,由考生本人承担。

志愿填报时,考生的选考科目应如何对应院校专业组的选科要求?

答:一是符合首选科目要求:历史科目类下的院校专业组及专业(类),只有首选科目为历史的考生才能填报;物理科目类下的院校专业组及专业(类),只有首选科目为物理的考生才能填报。

二是符合再选科目要求:(1)不提再选科目要求的,符合首选科目要求的考生均可填报;(2)提出1门再选科目要求的,考生必须选考该科目方可填报。如某院校专业组对化学科目提出要求,符合首选科目要求且再选科目选考化学的考生才能填报;(3)提出2门再选科目要求的,考生须同时选考这2门再选科目方可填报。如某院校专业组对化学和生物学科目提出要求,符合首选科目要求且再选科目同时选考化学和生物学科目的考生才能填报。

如何理解院校专业组平行志愿投档规则?

答:院校专业组平行志愿投档是以院校专业组为投档单位,按照“分数优先、遵循志愿”的原则进行投档。平行志愿投档时,按考生投档分从高分到低分排序,依次检索考生所填院校专业组志愿。只要考生所填报的院校专业组志愿中被检索到符合投档条件的院校专业组,即向该院校专业组投档。投档后,其他所填报的院校专业组无效。如没有出现符合投档条件的院校专业组,则不能投档。上述过程完成后,无论档案是否投出,均视为该考生已享受了本批次平行志愿投档机会。

如果考生档案投档到某院校专业组后,因故被退档,将不再补投到该批次平行志愿的其他院校专业组,只能参加该批次后续的征集志愿。

如何理解“院校专业组”的志愿模式?

答:2023年以前,我省是按照院校加专业的志愿模式,就是同一院校包含所有专业(类),考生在志愿填报时,只能填报该院校所列的6个专业志愿和是否服从专业调剂选项。2024年,高校将根据所列招生专业的选考科目要求及特征条件不同,将招生的专业分列到1个或多个院校专业组中,即每个专业组内设置多个专业(类),考生在志愿填报时,只能填报该院校专业组内的6个专业(类)志愿和是否服从专业调剂选项。